مدیریت امور اداری و پشتیبانی

کشیک خدمات و نقلیه

شرج وظایف نیروهای خدماتی

1-خاموش کردن چراغها،ویدئو پروژکتورها،بستن پنجره ها و درب کلاس ها.

2-نظافت و منظم نمودن صندلی ها، تریبون اساتید و تمیز کردن تخته

3- خاموش کردن وسایل گرمایشی و سرمایشی مانند اسپیلت،پنکه،کولر و کلید برق ها و هواکش سرویس های بهداشتی

4-اعلام هر روزه نام استاد و شماره کلاس از ساعت 17 الی 19 به نگهبانی.

 تذکر: عدم حضور و قصور در انجام امور محوله بر عهده نیروی خدماتی کشیک می باشد.

 

لیست کشیک نیروهای خدماتی در هر ماه

 

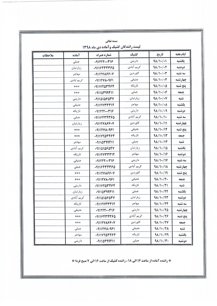
لیست رانندگان کشیک و آماده در هر ماه


  • برچسب ها:
  • لیست
  • خدمات
  • نقلیه
  • دانشگاه گلستان
تعداد بازدید: 1678